灵高logo

焊接精密度5μm

灵高-聚焦未来趋势,践行创新发展
超声波焊接原理
超声波的多普勒效应
来源: 时间:2022-09-23

当声源、接收器(观察者)和媒质相对运动时,观察到的超声波频率将与声源的发射频率有所不同,这一现象称为多普勒效应。多普勒效应广泛应用于超声测量,如流量测试、动目标探测等。


下面对多普勒效应的基本原理,做一简单物理解释。


首先讨论接收器以速度01运动,而声源和媒质静止的情形。设接收器的运动方向是离开声源的,则声波相对于接收器的传播速度为c-01 。因为媒质对声源相对静止,声源以02频率振动时有02 =c/λ,λ是常数。而声源和接收器之间传播速度是c-01,波长还λ,因此接收器(观察者)接收的频率03 =(c-01)/λ,比声源频率低。其表达式为


 灵高超声波


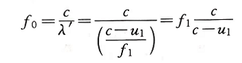
再讨论声源以速度05 向接收器靠近的情形。声源以02的频率向接收器方向发射波,同时以速度05 前进,对声源来说,波的传播速度为c-05,其波长λ = (c-05)/02 。对接收器来说,声波还是以声速c传来,只是波长变成λ,所以接收器感到的频率将是


 灵高超声波


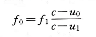
把上述两种情况综合起来,就得到声源与接收器同时对媒质相对运动的公式为


灵高超声波     (2-9)


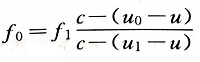
最后讨论媒质本身也以流速u运动的情况。当以地面作为参考系统时,那么声波相对地面的速度为c+u,因而得到


 灵高超声波


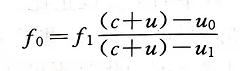
从另一个角度考虑,当以媒质为参考系统时,声波相对于媒质的速度仍为c,但声波相对于媒质的速度成为05 -u,接收器相对于媒质的速度成为05-u,因而根据式(2-9),可以得到


 灵高超声波


显然,上述两种方法的结果完全一致。


这里推导的公式把所有的速度都认为是在从声源到接收器的连线方向上的,遇到速度方向不在这一方向时,只要把有关速度在这一方向上的投影代入相应公式,就能求出相应的多普勒效应公式。



灵高超声波

相关资讯