灵高logo

焊接精密度5μm

灵高-聚焦未来趋势,践行创新发展
超声波焊接原理
表面粗糙度及周期性结构表征
来源: 时间:2022-06-14

表面粗糙度测量

 粗糙表面包括随机粗糙表面和结构有周期性变化的规则表面。可以用均方根表面粗糙度h和相关长度L予以描述。通常可以根据给定方向上的表面高度变化,用表面粗糙度仪来进行参数测定。但对于易损表面或其表面粗糙度在微米以下的表面测定,机械式表面粗糙度测量仪器已无能为力。超声波频谱分析仪是评价此类表面参数特征的有用工具。

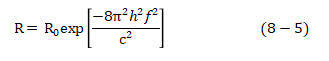
 背面反射方法和背散射法都可以用于表面粗糙度的测量。其中,背面反射法是评价表面粗糙度较为简单的方法,可采用常规的液浸法,测出声束垂直入射至被测表面时的反射频谱,并以光滑表面上获得的频谱为参考基准,对测量频谱作归一化处理。其反射系数可写成:

1655209437(1)


在公式中,1655209513(1)为光滑表面的反射系数; c为浸 液中的声速。

 在浸液声速c已知的条件下,利用归一化反射系数,可以间接计算均方根表面粗糙度h8-5是针对不同表面粗糙度的铝试样获得的归一化反射频谱,可以看到,由式(8-5)计算得到的均方根表面粗糙度h随频率呈抛物线变化规律。

 利用超声波背散射法评价粗糙表面几何外形的原理如图8-6所示[5]。采用脉冲回波方式进行测量,获得粗糙表面背散射压缩波的强度。图8-7为不同均方根表面粗糙度黄铜试样上测得的典型背散射曲线图[6]。可以看出,在5MHz及15MHz下,背散射信号强度与利用表面光度仪测得的表面粗糙度之间有很好的对应关系。


08

8-5  从浸入水中的粗糙表面试样上 

测得的超声反射频谱


09



  8-6测得粗糙表面散射回波时探头和试样的放置示意图


10


8-7   超声波背散射信号强度与表面光度仪所测得的表面粗糙度之间的关系


②周期性结构表征

 超声波频谱分析方法可以用于评价呈现周期性的表面特性。尽管从理论分析角度测量周期性和测量表面粗糙度完全不同,但两者在实验测量方法上却完全一样。对于超声波而言,周期性表面的作用相当于衍射栅。设超声波波长为,1655209997(1)为超声波入射角,则在满足下式时出现背散射超声波的强度峰:


1655210208(1)


式中,m为衍射阶数: d1 为衍射栅间距常数。在以下频率处可以观察到回波频谱的衍射线 :

1655210088(1)


式中,c为超声波探头与被检测表面之间耦合液的超声波声速。

 图8-8为在不同周期性表面获得的衍射峰值处频率1655210111(1)1655210399(1)倒数的曲线图,据此可以根据超声波测量数据求出衍射栅间距d1[7] 对于一定的衍射阶数m,衍射峰对应频率与入射角正弦值倒数形成散布在一条直线附近的数据点,该直线的斜率为mc/2d1,根据每一个衍射阶或根据测试的全部模式便可以确定d1值。

11


8-8  超声波衍射峰值对应的频率与入射角正弦值倒数的对应关系

a)完全周期性的表面   b)不完全周期性的表面


 利用干涉原理可以解释从周期性粗糙表面获得的背散射信号的频谱峰。这些峰值是由于周期性表面不同部位产生的稍有延迟的散射回波之间相互干涉造成的。如3.7节所述,两个回波信号的频谱可以看做是一个信号频谱的调制形式。与此相同,由表面等间距散射体产生的若干回波信号同时对频谱进行调制,便可以观察到上述现象。

 调制频率只同超声回波之间的时间间隔有关,且调制频谱的极大值和极小值频率与两个信号频谱的极大值、极小值频率相同,但峰谷值更陡直。实际测试过程中应使用较宽的时间闸门,以将表面全部回波都包含在内,也就是把全部信号当作一个信号进行分析,从而可以使频谱峰谷陡直的极大值特征显现出来。

 当衍射声栅不理想,以及表面的散射体并非完全等间距分布时,被测表面产生的大量信号将导致调制频谱的谱峰间距不等。由于每对散射体都会产生特征调制,所以得到的频谱可能相当复杂。为此可以先用空间均值法进行评价,以便在整个随机变化的频谱中增强具有统计意义的频谱特性。如果无法清楚地辨认出衍射峰,可以借助倒频谱(Cepstrum)分析方法将表面的周期性变化从噪声数据中寻找出来。

 研究表明:由机加工纹理产生的不完全非连续衍射声栅散射具有相当复杂的频谱,但利用背散射超声测量方法能够精确地计算出衍射声栅间距。有人还对方眼网和两维雕刻表面的周期性检测作过研究,发现用超声方法测得的粗糙表面周期性同实物相当吻合。


表面粗糙度对表面波传播的影响

       表面粗糙度对薄膜和界面的粘接和摩擦性能影响很大。因此,对表面粗糙度进行测量,以及预测不同表面粗糙度水平可能带来的影响具有重要意义。在材料中传播的声表面波(surface acoustic waves,SAWs),其绝大部分的能量都包含在材料表面下一个波长深度的区域内,对表面状态非常敏感。表面状态的任何变化,例如液体或者固体薄膜中残余应力和表面粗糙度级别,都会对其产生影响。许多技术都是基于SAWs, 但目前并没有注意到表面粗糙度可能带来的扰动效应。例如,某些重要场合的SAWs装置要求更加精确的弹性参数测量结果,以便设计能够在CHz频率下工作的实验装置[9] ,此时对表面粗糙度水平要求非常高,表面粗糙度的细微变化造成的SAWs速度的微小差异就可能意味着无法获得窄带滤波器的优异性能。因为表面粗糙度会造成基于SAWs速度频散效应的布里渊光谱法测量得到的材料弹性常数偏低等。Flannery和Kiedrowski[l0]  研究了声表面波(SAWs)在不同程度纳米级表面粗糙度硅片的(001)和(111)晶面上传播的频散效 应,研究结果对SAWs装置的设计、布里渊光谱法测量的精确度及在材料无损检测上的某些应用具有相当大的启示。

SAWs在粗糙表面传播时将发生频散,即随着频率的增加,SAWs的传播速度会降低且散射增强,发生衰减。SAWs的相速度与频率的依赖关系为:

1655211018(1)


式中,1655211172(1)是频率为1655211236(1)SAWs速度的变化;1655211285(1)是频率为0时的速度(对应于无表面粗糙度的光滑表面的瑞利波速);1655211353(1)rms(均方根)表面粗糙度;a为表面粗糙度的横向相关长度(表面粗糙度曲线中峰值和谷值间平均距离的量度);为常量,是材料弹性性能的函数。假设SAWs的波长1655211441(1)和a,因此对于某一特定频率,1655211475(1)是相速度的变化分数。通常假定表面粗糙度是一个任意的高斯分布,其由1655211353(1)和a来描述。要注意的一个重要特征是速度频散与频率呈线性关系且取决于表面粗糙度的平方。

准备了一系列平的Si(001)面晶片,通过抛光/粗糙化使其rms表面粗糙度在1655211353(1)=10~250nm内变化。对于所有试样,横向相关长度a都在15~30μm范围内。

SAWs是由氮激光脉冲(持续时间0.5ns,工作波长337nm,脉冲能量0.5mJ)通过一个柱面透镜线聚焦后照射到样品上所激发的。照射到的区域吸收的热能使其快速膨胀,所产生的应力在其上激发出频率范围很宽的SAWs。用具有刃形探测器的压电薄片在不同的相对传播距离上对其进行探测[10]。通过对传播路径长度相差为10mm的SAWs波包进行傅里叶变换得到相速度频散曲线。

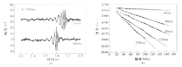
8-9a显示了在1655211353(1)= 130nm的Si(001)晶面上沿[100]方向不同传播距离上的SAWs波包。可以清楚地看到频散现象的存在。高频部分(波长短)相速度较慢,最后到达。可以认为是表面粗糙度使得波的传播变慢,随着频率的增加(波长/表面粗糙度比值降低),这个效应变得更加明显。图8-9b显示了在不同表面粗精度水平的(00)面上沿[ 10]品向传播的SAW典型的相速度频散曲线,每条曲线都符合线性关系。

12


8-9  SAWs波包和相速度频散曲线

a)SAWs波包   b)相速度频散曲线


 此外,研究还表明,由于频散带来的速度变化是明显的,对于每个样品在100MHz时的速度变化接近1%。如果将该结论外推到GHz频率,即使表面粗糙度为nm数量级,速度的变化也会相当大。这对布里渊光谱法(频谱法)和工作在高频的SAW装置有很大影响。



灵高超声波起源于1993年,致力于超声波塑焊高端技术应用,集于研发技术、产品制造 、销售、服务、全产业链自制的工业超声波技术机器和系统供应商。公司拥有104 CNC 加工设备,为客户供应中山超声波焊接机、江门超声波焊接机、阳江超音波设备配件等、根据厂家需求定制非标设备,会和顾客一起从最开始的生产规划逐渐,寻找最好的生产工艺流程和生产线设备。长期以来,产品广泛运用在塑料、医疗器械、3C 电子、汽配行业等多个领域。为海内外各大企业,提供高品质。超声波焊接设备及行业应用方案。未来,我们将继续发挥资源、技术、市场等多方面的优势䟡砺前行,引领中国超声波塑焊接技术发展。

2





相关资讯